Welcome Message

「流行起於高分子,變化盡藏微宇宙」! 歡迎光臨「流變學好簡單 | The RheoMaster」部落格,成立於 2019/2/22,旨在提供簡單的中文流變學知識,包括高分子流變學、輸送現象、高分子加工、流變量測等。您可至右方進行關鍵字搜尋,若有任何建議,請至文章留言或來信 yuhowen@gmail.com。 Welcome to "The RheoMaster" Blog. This website was established in Feb 2019. In view of the lack of Chinese literature on rheology, here we offer basic knowledge relevant to polymer rheology, transport phenomena, polymer processing, rheometry, etc. If you have any suggestion, please leave a message on the post you are reading or email us at yuhowen@gmail.com.

2019年6月28日

§11.1 能量方程式 (The Energy Equation)

本文章介紹如何推導總能量的變化方程式 (equation of change for the total energy),此式是一個用於描述均相流體或固體 (homogeneous fluid or solid) 能量輸送 (transport of energy) 之偏微分方程式 (partial differential equation)。若將能量方程式 (能量守恆) 結合連續方程式 (質量守恆) 和運動方程式 (動量守恆),我們可進而處理非恆溫系統 (nonisothermal systems)。 


能量守恆定律 (law of conservation of energy) 是古典熱力學第一定律 (first law of classical thermodynamics) 的延伸,涉及一個封閉系統中,兩個平衡狀態之內能差異 (difference in internal energies of two equilibrium states of a closed system),此內能差來自於加入系統的熱和作用於系統的功,即我們熟悉的 U = Q + W

對空間中位置固定且有流體流經的一個體積單元,進行簡單的能量平衡 (energy balance),如Fig. 3.1-1,便可得能量方程式 (energy equation) 。能量可藉由以下幾種形式傳遞,(1)  動能內能可藉由對流輸送 (convective transport) 的方式輸入和輸出於此體積單元;(2) 可透過傳導 (heat conduction) 的方式進出,熱傳導原理上是一個分子程序 (molecular process);(3) 可藉由應力作用於流動流體,這也是一種分子程序,它包括了壓力 (pressure forces) 和黏滯力 (viscous forces)。此外,也可藉由外力 (external forces) 作用於系統,例如重力。



Figure 3.1-1 對空間中一個固定位置的體積單元進行能量平衡,這裡的 mass flux (ρvx) 應改為 energy flux (ex

因此我們可把上述各種不同能量傳遞的方式,寫成下方之能量守恆方程式
(11.1-1)
我們將使用合併的能量通量向量 e (combined energy flux vector) 表示 Eq. 11.1-1 等號右側的前三個括號。e 的表示式為
(9.8-5)
Equation 9.8-5 依序表示對流 、分子機制作功、熱傳導造成的能量通量。在繼續進行前,我們將說明以下幾點:
(i) 這裡的動能 (kinetic energy) 指的是,流體可被觀察運動 (observable motion of the fluid) 所對應能量,若 v 為流體的速度向量,每單位體積具有動能
(ii) 內能指的是組成分子相對於以 v 的速度移動座標系所具備的動能,加上分子有關於振動和旋轉運動 (vibrational and rotational motions) 的能量。
(iii) 勢能 (potential energy) 並沒有出現於 Eq. 11.1-1,因為我們傾向考慮重力作功於系統。
(iv) 黏滯耗散加熱 -(τ:v) (viscous dissipation heating) 發生於流動系統,是由 e (Eq. 9.8-5) 的機械能降解為熱能而來 (degradation of mechanical energy into thermal/internal energy),為一種不可逆的轉換,因此將自動出現於內能的變化方程式中 (equation of change for internal energy)。然而,像電磁 (electromagnetic)、輻射 (radiative)、核能 (nuclear)、化學 (chemical) 形式的能量,則是需要額外被引入能量平衡方程式。


接下來我們將把能量守恆方程式 (Eq. 11.1-1) 翻譯成數學項。體積單元內 xyz,動能和內能的增加率為
(11.1-2)
其中,U^ 是單位質量的內能 (亦稱為比內能 (specific internal energy)),ρU^ 是單位體積的內能,而 ρv2/2 = ρ/2 * (vx2+vy2+vz2) 是單位單積的動能。接下來我們必需知道有多少能量進入和離開體積單元 xy的各個面,即
(11.1-3)
我們必需記住,合併的能量通量向量 e 包括動能和內能的對流輸送、熱傳導、分子程序作的功。而外力對流體作功的時率為流體速度 (v) 和施予的力 (ρxyz)g 之內積,即
(11.1-4)
接下來將這些不同貢獻 (Eqs. 11.1-2,3,4) 代入 Eq. 11.1-1,並除以 xyz,當 xyz 趨近於零,可得
(11.1-5)
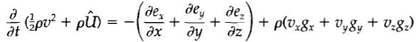
Equation 11.1-5 表示,在單位體積、單位時間下,動能加上內能之時變率 = 對流造成的動能和內能之時變率 + 熱傳導造成之能量時變率 + 分子機制作功造成之能量時變率 + 外力作功造成之能量時變率。Equation 11.1-5 可寫成精簡的向量表示式如下
(11.1-6)
若我們將合併的能量通量向量 e (Eq. 9.8-5) 代入上式,可得能量方程式 (equation of energy)
(11.1-7)
值得特別一提的是,對於黏彈性流體 (viscoelastic fluids),Eq. 11.1-7 右側的倒數第二項可將 "viscous" 取代成為 "viscoelastic"。



Reference: RB Bird, WE Stewart, EN Lightfoot, Transport Phenomena, 2nd ed (Wiley 2002).

2019年6月22日

§3.2 運動方程式 (The Equation of Motion)

為了得到運動方程式,我們對 Fig. 3.2-1 的體積單元 xyz 寫下動量平衡,即
(3.2-1)

Figure 3.2-1 對空間中一個固定位置的體積單元進行動量平衡,這裡以 x 方向動量為例

特別注意,Eq. 3.2-1 是 Eq. 2.1-1 延伸至非穩態的問題 (unsteady-state problems),因此,如同第二章,我們將以類似的方式進行推導。然而,除了包括非穩態的項,我們必需允許流體移動通過體積單元的所有六個面。特別記住 Eq. 3.2-1 是向量方程式 (vector equation),其在三個坐標方向 xyz 都有分量。我們發展 Eq. 3.2-1 在 x 分量的每個項;yz 分量可以用類似的方式處理。

首先,我們考慮動量的 x 分量,進、出 Fig. 3.2-1 體積單元的流率,動量透過兩種機制進入和離開 xyz: 對流輸送 (見 §1.7) 和分子輸送 (見 §1.2)。
(3.2-2)
接著有一作用於流體體積單元的外力 (一般是重力),此力的 x 分量為
(3.2-3)
若以數學的語言來表述三個方向 (x, y, z) 的運動方程式如下
(3.2-4)
(3.2-5, 6)
Equations 3.2-4 到 3.2-6 分別描述的是,每單位體積在 x, y, z 方向的動量時變率。若使用向量及張量表示,Equations 3.2-4 到 3.2-6 可分別寫成 (下標 i x, y, z)
(3.2-7)
或相加寫成更精簡的向量式子
(3.2-8)
Equation 3.2-8 等式右側的第一個項是合併的動量通量張量 (combined momentum flux tensor),可寫成對流的動量通量張量 (convective momentum flux tensor) + 分子的動量通量張量 (molecular momentum flux tensor) ,代入 Eq. 3.2-8,可得到下方的運動方程式
(3.2-9)
Equation 3.2-9 表示,在單位體積裡,動量時變率 = 對流造成的動量時變率 + 分子輸送造成的動量時變率 (分子應力 = 靜壓力 + 黏性應力) + 施加於流體的外力。 


Reference: RB Bird, WE Stewart, EN Lightfoot, Transport Phenomena, 2nd ed (Wiley 2002).

§3.1 連續方程式 (The Equation of Continuity)

Revised: 2022/1/28

連續方程式的推導,針對流體流經空間中位置固定的體積單元 xy進行質量平衡 (mass balance)如 Fig. 3.1-1 所示,
 
[註:採 in 減 out,是為了表示對體積單元而言,例如,in = 3 g/s,out = 5 g/s,所以質量增加時率為 (3 - 5) g/s = - 2 g/s,表示體積單元質量減少。]
現在我們必需將這個簡單的物理陳述翻譯成數學語言。



我們先考慮兩個垂直 x 軸的陰影面,流進位在 x 的陰影面之質量流率為 (ρvx)|xyz流出位在 x 的陰影面之質量流率為 (ρvx)|x+Δyz同樣地,可以針對其它兩對的面寫下類似的表示式。在體積單元內的質量增加率為 xyz(ρ/t),然後質量平衡變成
透過將整個方程式除上 xyz,並在 xyz 趨近於零的極限下,接著使用偏微分 (partial derivatives) 的定義,我們可得
這是連續方程式 (equation of continuity),它描述空間中一個固定點流體密度時變率 (the time rate of change of the fluid density at a fixed point in space)。這個方程式可寫成簡要的向量表示式,即
[註:見下方 Eq. 1。]
這裡,(ρv) 稱為 ρv 發散量 ("divergence of ρv"),有時寫成 "div ρv"。向量 ρv 是質量通量 (mass flux),它的發散量有一個簡單的意義,即單位體積之淨質量流出率 (the net rate of mass efflux per unit volume)。在 Problem 3D.1 的推導則是使用一個具任意形狀的體積單元 (arbitrary shape),並不一定需要像我們此處使用的矩形體積單元 (rectangular volume element)。

連續方程式有一個非常重要且特別的型式,對於密度固定的流體 (即不可壓縮流體 ( incompressible fluid)),Eq. 3.1-4 可簡化成
當然,沒有流體是真正的不可壓縮,但是在工程或生物的常見應用中,密度為定值的這個假設往往帶來很可觀的簡化和非常小的誤差。

註:
(i) The Divergence of a Vector Field
(1)

(ii) The Equation of Continuity


Reference: RB Bird, WE Stewart, EN Lightfoot, Transport Phenomena, 2nd ed (Wiley 2002).

2019年6月14日

壁滑動 (Wall Slip) 之基本概念與估算: Part 2

本文將簡短介紹如何利用材料參數 (material parameters) 和線性黏彈性關係式,得到描述壁滑現象 (wall slip) 相當重要的兩個性質,即極限滑動速度 Vs* (limiting slip velocity) 和最大外插長度 bmax (maximum extrapolation length) ,這兩個性質相當有用,因為它們可以協助我們預測高分子發生壁滑的程度。de Gennes 提出,在高分子與壁的界面處,滑動速度 Vs 正比於該處的剪切應力 σ,即
(1)
其中,β 是界面磨擦係數。這個簡單的線性關係可被假設為高分子與壁界面的本質方程式,雖然此關係式很簡單,但卻適用於大部分的情況。

de Gennes 更進一步提出,界面磨擦係數 β 與界面黏度 ηi 和界面層厚度 ai 的關係如下
(2)
Equation 2 是透過因次分析 (dimensional analysis) 得來的。然而,若將 Eq 1 結合下方 Eqs. 3  4,同樣可推得 Eq. 2 這個重要的關係式
(3)
(4)
其中,γi_dot 是在界面層的剪切率。Fig. 6.2b 清楚地描繪厚度為 ai 的界面層,發生壁滑的界面層之剪切率 γi_dot (紅色虛線) 明顯大於整體剪切率 γ_dot (藍色虛線)。
Figure 6.2

有了 Eq. 2 這個重要的關係式,接下來我們便可透過一些簡單的物理概念,定量求得糾結高分子熔體 (entangled polymer melt) 在發生完全滑動 (complete wall slip) 現象或黏滑轉變 (stick-slip transition),所對應的極限滑動速度 Vs* (limiting slip velocity) 和最大外插長度 (maximum extrapolation length)。

當完全滑動發生於高分子與壁的界面時,高分子糾結點將完全消失,造成黏滑轉變現象 ,此時對應的臨界剪切應力為 σc。當發生黏滑轉變時,界面磨擦係數 β 將會突然下降至最小值 βmin。對於糾結高分子熔體 (糾結點分子量為 Me),其在界面層的黏度 ηi 也將達到一個下界值 η(Me),η(Me) 代表分子量為 Me 的 Rouse 熔體所對應的黏度。換句話說,當發生黏滑轉變時,界面黏度將由 ηi 突降至 η(Me),透過 Eq. 2,這時界面磨擦係數的最小值 βmin 為
(5)
這裡,高分子的糾結點間距 lent 被視為界面滑動層厚度 ai

實驗已證實,黏滑轉變發生時所對應的臨界剪切應力 σc 相當接近彈性平台模數 Gpl,即 (高子子熔體的臨界剪切應力約為 0.1 MPa)
(6)
故極限滑動速度 Vs* 為
(7)
在 Eq. 7 中,使用了這個常見的線性黏彈性關係式
(8)
其中,τe 是糾結點的鬆馳時間。Eq. 7 這個重要結果透露了許多相當有用的訊息: (1) 極限滑動速度 Vs* 是由局部時間 τe 和尺度 lent 所決定。當溫度上升,分子運動速度加快,τe 變小,造成 Vs* 變大,也就是說,黏滑轉變將發生在更大的 Vs* 值,此預測與實驗結果吻合。(2) Vs* 與分子量並無相依性,這結果是可以理解的,因為黏滑轉變是在發生在糾結點完全消失的狀態。Table 6.1 則提供 PTV (particle-tracking velocimetry) 實驗取得的 Vs* 值,不同種類高分子之間差異甚大,落於 0.0093 到 200 mm/s。(3) 如果假設發生黏滑轉變的臨界應力值為 0.1 MPa 且剪切率為 1,000 1/s 時,臨界的黏度為 100 Pa.s;換句話說,若在射出成型的高溫度下,當流體黏度遠小於臨界黏度 100 Pa.s 時,則壁滑動可以被忽略。

另一方面,當發生黏滑轉變時,外插長度將在臨界剪切率 γc_dot 時達到最大值,即
(9)
Equation 9 使用了臨界剪切率 γc_dot 等於最長鬆馳時間 τ 的倒數 。如果我們將 Eq. 7 代入 Eq. 9,並接受 τ/τe = η/ηe (即最長的鬆馳時間正比於黏度),可以得到下方結果
(10)
在上式中,我們已使用了黏度和分子量的經驗式
(11)
Equation 10 是個非常重要的結果且與實驗所得的尺度關係相吻合 (見 Fig. 1)。我們可以透過 Eq. 10 估算不同種類高分子的最大外插長度,加以協助判斷壁滑的程度。舉例來說,由於 PS 和 PMMA 的糾結點分子量 Me 均很大,約是 15,000 g/mol,而實務上所使用的分子量 M 一般都小於 200,000 g/mol,透過 Eq. 10 所估算的 bmax 遠小於 1 mm,因此在工業加工中,壁滑現象較難發生在 PS 和 PMMA 兩種高分子。此外,不同於 Vs*bmax 並不是溫度的函數,故較適合作為評估不同種類高分子對抗壁滑動的本質能力。
Figure 1 最大外插長度 bmax 與 分子量 Mw 呈斜率 3.4 的結果與 Eq. 10 的理論預測吻合


Reference: SQ Wang, Nonlinear Polymer Rheology (Wiley 2018).

2019年6月11日

壁滑動 (Wall Slip) 之基本概念與估算: Part 1

此文探討穩態剪切流場下的壁滑動現象。在 Fig. 6.1a 中,當糾結性高分子 (entangled polymer liquid) 處於靜止或極低剪切率時,並無壁滑動現象。然而,於 Fig. 6.1b 中,高剪切率卻造成完全壁滑 (complete wall slip),此時吸附高分子 (adsorbed) 與無縛高分子 (unbound) 間的糾結點消失 (full disentanglement)。或者,於 Fig. 6.1c 中,高分子因高剪切率而脫附低附著力的表面 (chain desorption)。不論是 Fig. 6.1b 的糾結點消失或 6.1c 的高分子脫附,兩者造成的結果都是一樣的,它們都使固體表面和整體 (bulk) 高分子間的糾結點數變少,進而造成下降的界面黏度 (reduced interfacial viscosity) ,即所謂的壁滑動現象。 
Figure 6.1 壁滑動示意圖


為了定量壁滑現象,便定義了滑動速度 Vs (slip velocity) 或外插長度 b (extrapolation length),見 Fig. 6.2a
Figure 6.2 壁滑現象的定量表示式


由 Fig. 6.2a 可知上板的移動速度是 V,但是,整體高分子實際感受到的速度差只有 V - 2Vs (上、下板均發生壁滑),如果我們將實際的整體剪切率 (γ_dot = (V-2Vs)/H, actual bulk shear rate) 除以表觀的剪切率 (V/H, apparent shear rate),可得
(1)
V2VHγ_dot 以及 bVs/γ_dot 代入 Eq. 1,可得
(2)
唯有當 Vs/V << 1 或 b/H << 1 時,壁滑動效應才可以忽略。對高度糾結高分子液體 (well-entangled polymeric liquids),流變儀夾具常用的間隙距離 H 約為 1 mm,但 b/H 的值卻可接近或大於 1,表示有嚴重的壁滑現象。


Reference: SQ Wang, Nonlinear Polymer Rheology (Wiley 2018).

2019年6月5日

剪切流場的牛頓本質方程式 (Newtonian Constitutive Equation)

剪切流場之所以成為常用的標準流場,主要是因為它的應變率張量 (rate-of-strain tensor) 表示式很精簡 (γ_dot = ▽v + (▽v)T)
(1)
讓我們回顧一下,張量型式的牛頓本質方程式 (tensorial Newtonian constitutive equation) 如下
(2)
其中 μ 是牛頓流體的黏度,為定值對於簡單的剪切流場,牛頓本質方程式對其應力張量 (stress tensor) 的預測也很簡單
(3)
對於不可壓縮的牛頓流體 (Newtonian incompressible fluid),其應力張量在直角座標只有兩個不為零的分量,而且兩分量值相同。因此,在剪切流場下,不可壓縮的牛頓流體變成一個簡單的純量方程式
(4)
這就是大家熟悉的牛頓黏度定律 (Newton's law of viscosity),它是完整張量型式之牛頓本質方程式於剪切流場的簡化表示式。

2019年6月4日

「流變學好簡單」部落格出現於 Google 搜尋引擎首頁

流變學好簡單部落格經過四個月的經營,已約有 20 篇流變學相關技術短文。若以流變學流變關鍵字搜尋,可於 Google 搜尋引擎的第一頁看到本部落格蹤影。

為了提升部落格主題的多樣性與完整性,日後也將額外撰寫其它相關領域的短文,包括
(1) 高分子物理 (polymer physics)
(2) 流體力學與熱傳 (fluid mechanics & heat transfer)
(3) 高分子加工 (polymer processing)

期許未來能把發表過的文章,分門別類匯集成冊並於網路分享,為科技文獻中文化貢獻一點點心力。

Google 搜尋結果