Welcome Message

「流行起於高分子,變化盡藏微宇宙」! 歡迎光臨「流變學好簡單 | The RheoMaster」部落格,成立於 2019/2/22,旨在提供簡單的中文流變學知識,包括高分子流變學、輸送現象、高分子加工、流變量測等。您可至右方進行關鍵字搜尋,若有任何建議,請至文章留言或來信 yuhowen@gmail.com。 Welcome to "The RheoMaster" Blog. This website was established in Feb 2019. In view of the lack of Chinese literature on rheology, here we offer basic knowledge relevant to polymer rheology, transport phenomena, polymer processing, rheometry, etc. If you have any suggestion, please leave a message on the post you are reading or email us at yuhowen@gmail.com.

2021年5月30日

不同函數型式之黏度模型參數取得 (Getting Parameter Values in Viscosity Model of Different Form)

有時,同樣的黏度模型 (Viscosity model),其函數型式可能會有兩種。例如,比較 Eq. 7 和 Eq. 1 (Table 2) 的 Carreau 模型。溫度平移函數 (temperature shifting function) 也有類似的情況,例如,比較 Eq. 17 和 Eq. 2 (Table 2)。乍看之下,它們的函數型式好像不同,然而,經過仔細整理、比對後,往往可以得到另一個函數的參數值。

下方 Eqs. 7 (Carreau)、17 (Arrhenius equation) 及 Table 1 (參數) 是一個取自文獻的實例,透過轉換,可以得到另一種函數型式 Carreau 模型的參數值 (Table 2 的 Taus、B、Tb),不同溫度下的黏度曲線如 Fig. 1 所示。 

[Mitsoulis et al. (2017)]
 

TABLE 2. Carreau 模型 (上式;Eq. 1) 和溫度平移函數 (下式;Eq. 2)

以 80℃ 為例,

FIG. 1. 根據 Table 2 參數,可以得到不同溫度下的黏度曲線

2021年5月7日

線性黏彈性質與測黏函數的關係: Cox-Merz 法則 (Relation between Linear Viscoelastic Property and Viscometric Function)

對於纏結性高分子溶液或熔體,剪切黏度曲線亦可透過 Cox-Merz 法則取得。根據此經驗法則,剪切黏度 η (shear viscosity) 應等於複數黏度 |η*| (complex viscosity)

(1)
其中,ω 的單位使用 rad/s,而不是 1/s (Hz)。即,在 ω = 10 rad/s 測得的複數黏度,等於 γ̇  = 10 1/s 測得的剪切黏度,即
|η*(ω=10 rad/s)| = η(γ̇ =10 1/s)     (2)
[註:ω = 2πf。當 ω = 10 rad/s,則 f = 1.59 Hz]
因此,Cox-Merz 法則常被用來檢驗旋轉模式下測得的穩態剪切黏度,也是一種快速取得黏度曲線的方法。






Reference: RB Bird, RC Armstrong, O Hassager, Dynamics of Polymeric Liquids, Vol. 1, Fluid Mechanics, 2nd ed (Wiley-Interscience 1987).

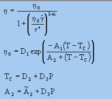
黏度數據擬合之基本要點 (Problems Encountered in Fitting Viscosity Data)

Revised: 2022/3/10

Cross-WLF 黏度模型

使用黏度模型 (viscosity model) 擬合剪切黏度數據時 (shear viscosity),需注意以下幾點,方能得到可靠的黏度曲線,也就是黏度的剪切率及溫度的相依性:

(1) 需同時有剪切率和剪切率的數據,前者來自毛細管流變儀 (capillary rheometer; 10γ̇  (1/s) < 104),後者來自旋轉流變儀 (rotational rheometer; 10-3 γ̇  (1/s) < 102)。
(2) 需有不同溫度下的黏度數據 (至少三個溫度),量測溫度範圍需相差至少 20–40 ℃ (例如:180、200、220 )

從下方範例可知,當黏度數據不齊全時 (例如,只有 200 ℃ 的高剪切率黏度),雖然兩種擬合結果得到相同的誤差總和 (error sum = 1.4837E-04),但是,兩組參數的 D1A值卻大為不同,若外插至低溫時 (例如,90),兩組參數將得到非常不同的低溫黏度曲線。

第一種擬合結果



第二種擬合結果