Welcome Message

「流行起於高分子,變化盡藏微宇宙」! 歡迎光臨「流變學好簡單 | The RheoMaster」部落格,成立於 2019/2/22,旨在提供簡單的中文流變學知識,包括高分子流變學、輸送現象、高分子加工、流變量測等。您可至右方進行關鍵字搜尋,若有任何建議,請至文章留言或來信 yuhowen@gmail.com。 Welcome to "The RheoMaster" Blog. This website was established in Feb 2019. In view of the lack of Chinese literature on rheology, here we offer basic knowledge relevant to polymer rheology, transport phenomena, polymer processing, rheometry, etc. If you have any suggestion, please leave a message on the post you are reading or email us at yuhowen@gmail.com.

2020年1月9日

剪切流場之起動曲線 (Start-up Curve in Shear Flow)

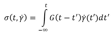
對於剪切流場之起動實驗,我們在某個時間點 (t = 0) 施加一個固定的剪切率予靜止的流體,故應變歷史為 (strain history),當 t < 0,γ_dot = 0;當 t > 0,γ_dot(t) = γ_dot。這種數據稱為起動曲線,並經常被用於測試所提出本質方程式之預測。線性黏彈性支配在 γ_dot → 0 極限下之起動行為,而 Boltzmann 疊加原理告訴我們,線性黏彈性區間的剪切應力可表示成
(1)
其中,γ_dot(t') 是在時間 t' 時估算的應變率 dγ/dtG(t - t') 是經歷 t - t' 後的鬆弛模數。若將 Eq. 1 結合起動實驗的應變歷史,我們可以得到
(2)
因此 Eq. 2 透露,如果我們有液體應力鬆弛模數之實驗數據,便可計算 γ_dot → 0 的起動曲線。若我們假設鬆弛模數為 G(t) = exp(- t/τd),則 Figure 1 是 Eq. 2 的計算結果,它是一條一開始為單調遞增且在長時間達到穩態的黏度起動曲線 (約需五個鬆馳時間 τd)


Figure 1

Reference: WW Graessley, Polymeric Liquids & Networks: Dynamics and Rheology (Garland Science 2008).

沒有留言:

張貼留言